许多寿命测量方法,如QSSPC、μPCD或CDI,以及MDP在极低的注入浓度下都存在异常高的测量寿命。这种效应是由于样品中的捕获中心造成的。这些捕获中心对于了解材料中载流子的行为非常重要,并且也会对太阳能电池产生影响。因此,需要以高分辨率来测量缺陷密度和这些缺陷中心的活化能。

借助MDPmap和MDPingot,可以通过一次测量来测量光电导率以及少数载流子寿命,并在宽注入范围内实现全自动测量。巧妙的算法可以确定样品中的缺陷浓度。
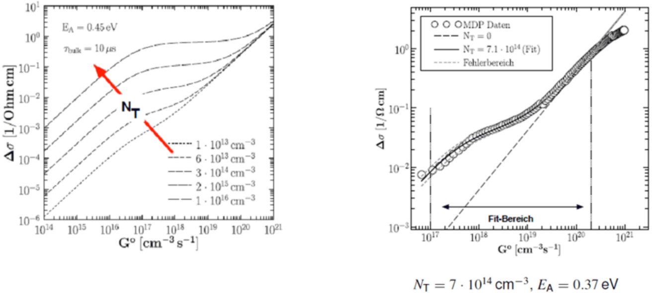
根据注入相关寿命曲线,可以确定低注入下的寿命τLLI,并且光电导率与修正后的HORNBECK和HAYNES模型相匹配。其中捕获密度NT和活化能EA是拟合参数。
在mc-Si和Cz-Si晶片上获得了一个测量结果,并且可以确认缺陷密度和位错密度之间的相关性。


不同缺陷密度下的光电导率与Gopt的比较以及测得的光电导率曲线的拟合
MDPmap可以以高分辨率测量注入相关的光电导率和寿命曲线,从而可以确定缺陷密度和捕获中心的活化能。这样就可以研究缺陷的起源及其对太阳能电池效率等的影响。
若需了解更多信息,请阅读:
[1] J. A. Hornbeck and J. R. Haynes, Physical Review 97, 311-321 (1955)
[2] D. Macdonald and A. Cuevas, Applied Physics Letters 74, 1710 - 1712 (1999)
[3] N. Schüler, T. Hahn, K. Dornich, J.R. Niklas, 25th PVSEC Valencia (2010) 343-346
本文地址: https://www.xsyiq.com/55901.html
网站内容如侵犯了您的权益,请联系我们删除。